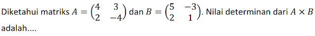
SOAL LATIHAN UN UNBK (USBN) PROGRAM PAKET C MATA PELAJARAN MATEMATIKA
SOAL LATIHAN UN UNBK(USBN) PROGRAM PAKET C MATA PELAJARAN MATEMATIKA
Berikut Contoh Latihan Online Soal Latihan UN UNBK(USBN) Program Kesetaran Program Paket CMata Pelajaran Matematika Tahun 2019 (Program IPA, IPS dan Bahasa). Desain soal latihan ini sebagai hasil pelatihan membuat soal Online melalui Blogspot. Mudah-mudahan bisa digunakan untuk sekedar memberikan persiapan berlatih mempelajari Soal Latihan UN UNBK(USBN) Program Kesetaran Program Paket CMata Pelajaran Matematika Tahun 2019 (Program IPA, IPS dan Bahasa) ala games.
DILARANG MENGCOPY
Petunjuk: Klik pada bulatan di depan pilihan jawaban yang menurut anda benar..!!
(1)Waktu tes tulis selama 120 menit;
(2) Pilihlahsalah satu jawaban yang dianggap paling benar (masing-masing soal memilikibobot 1);
(3)Pemeriksaan hasil tes tulis dilakukan melalui sistem komputerisasi; Ketepatan jawaban dapat dilihat langsung pada notifikasi. Selamat mencoba.
====================================
